
This article was last updated on April 16, 2022
Canada:
Oye! Times readers Get FREE $30 to spend on Amazon, Walmart…
USA:
Oye! Times readers Get FREE $30 to spend on Amazon, Walmart…
While the new administration in Washington brandishes its anti-terrorism mantra, a look back in time explains why the situation in Iraq and Syria devolved to the point where the Islamic State, the current global “terrorism boogeyman” arose to such prominence. This background information came to light when Judicial Watch published a series of documents in May 2015 about the attack on the U.S. embassy in Benghazi. While most of the mainstream (i.e. the “real media”) focussed on the State Department and its foreknowledge of the Benghazi attack, in fact, another document shows how the United States and its allies in the region were complicit in the creation of ISIS and how the group could be used in the West’s anti-Assad program.
Here is the heavily redacted formerly “Secret/No Forn” document from the Defense Intelligence Agency in its entirety:
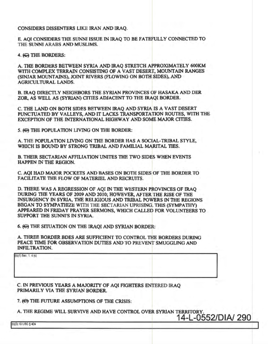
The Department of Defense Information Report on Iraq begins by noting that there are two sides to the situation in Syria:
1.) Supporters of the Assad Regime – Russia, China and Iran
2.) Supporters of the Opposition to Assad – the West, Gulf Countries and Turkey
Since the Sunni – Shia split is critical to understanding the Middle East, let’s start by looking at a map of the region showing which nations have Sunni and Shia majorities and which nations are currently experiencing internal and external sectarian violence:
It is also key to note that al-Qaeda and ISIS are both Sunni; ISIS believes that in order to purify Islam, Shia Muslims must die. As well, Syria’s ruling class is Alawi, an offshoot of Shia as shown on this complex diagram:
It is also important to look back at a bit of history; Al-Qaeda in Iraq (AQI) became the Islamic State in Iraq and Syria (ISIS) in April 2013 when it began to operate in both Iraq and Syria. In February 2014, al-Qaeda officially renounced any connection with ISIS after attempts at reconciliation between the leader of al-Qaeda, Ayman al-Zawahiri, and the leader of ISIS, Abu Bakr al-Baghdadi, failed.
Let’s go back to the Department of Defense document. The document notes that the Muslim Brotherhood and AQI (Al-Qaeda in Iraq) are the major forces that were driving the insurgency in Syria and that, from the beginning, AQI supported the Syrian opposition because it considered Assad’s government to be a sectarian regime which was targeting Sunnis.
The document goes on to explain the situation in Syria and Iraq, and makes the following conclusions:
1.) The Assad regime will survive and control Syria.
2.) A proxy war will develop with the regime getting support from Russia, China and Iran to aid the Assad regime in retaining control the coastal territories of Syria (i.e. western Syria). Opposition forces, supported by the West, Turkey and the Gulf States, want to retain control of the eastern areas that are immediately adjacent to the western Iraqi provinces of Mosul and Anbar.
3.) As the situation evolves, there is the possibility of establishing a Salafist principality (Salafists are a branch of Islam that is most puritan and doctrinally rigid, seeking to imitate the life of Mohammed in every aspect of their lives. It is most often associated with the jihadist movement). Here’s the key paragraph from the document:
Basically, in 2012, the Western powers, the Gulf States and Turkey were quite comfortable using AQI/ISIS to achieve their goal of removing Bashar al-Assad from power. This map shows the Pentagon’s intentions:
With the benefit of knowing what has happened since 2012, it is quite obvious that, in their haste to overthrow Bashar al-Assad, the United States and the Obama Administration, in particular, made a grievous error by assuming that they could use Al-Qaeda in Iraq to achieve their goals of regime change in Syria. The evolution of AQI into the now-much dreaded ISIS is yet another fine example of an unintended consequence of a poor understanding of the geopolitics and religion of the Middle East by those who “lead” us.
Click HERE to read more.
Vote for Shikha Dhingra For Mrs South Asia Canada 2017 by liking her Facebook page.
You can publish this article on your website as long as you provide a link back to this page.













Be the first to comment