
With the Trump impeachment procedures ongoing and the connection to his conversation about the Biden family with Ukraine President Zelenskyy, there has been very little coverage of an important aspect of the relationship between Washington and Kiev. While none of us can speak to the actual intent of Donald Trump's remarks be it for personal gain or for other reasons, there is background information that may help illuminate the context of the discussion between the two world leaders.
In case you haven't read the pertinent section of the transcript of the conversation, here it is:
"President Zelenskyy: Yes it is very important for me and everything that you just mentioned earlier. For me as a President, it is very important and we are open for any future cooperation. We are ready to open a new page on cooperation in relations between the United States and Ukraine. For that purpose, I just recalled our ambassador from United States and he will be replaced by a very competent and very experienced ambassador who will work hard on making sure that our two nations are getting closer. I would also like and hope to see him having your trust and your confidence and have personal relations with you so we can cooperate even more so. I will personally tell you that one of my assistants spoke with Mr. Giuliani just recently and we are hoping very much that Mr. Giuliani will be able to travel to Ukraine and we will meet once he comes to Ukraine. I just wanted to assure you once again that you have nobody but friends around us. I will make sure that I surround myself with the best and most experienced people. I also wanted to tell you that we are friends. We are great friends and you Mr. President have friends in our country so we can continue our strategic partnership. I also plan to surround myself with great people and in addition to that investigation, I guarantee as the President of Ukraine that all the investigations will be done openly and candidly.. That I can assure you.
President Trump: Good because I heard you had a prosecutor who was very good and he was shut down and that's really unfair. A lot of people are talking about that, the way they shut your very good prosecutor down and you had some very bad people involved. Mr. Giuliani is a highly respected man. He was the mayor of New York City, a great mayor, and I would like him to call you. I will ask him to call you along with the Attorney General. Rudy very much knows what's happening and he is a very capable guy. If you could speak to him that would be great. The former ambassador from the United States, the woman, was bad news and the people she was dealing with in the Ukraine were bad news so I just want to let you know that. The other thing, There's a lot of talk about Biden's son, that Biden stopped the prosecution and a lot of people want to find out about that so whatever you can do with the Attorney General would be great. Biden went around bragging that he stopped the prosecution so if you can look into it… It sounds horrible to me.
President Zelenskyy: I wanted to tell you about the prosecutor. First of all, I understand and I'm knowledgeable about the situation. Since we have won the absolute majority in our Parliament, the next prosecutor general will be 100% my person, my candidate, who will be approved, by the parliament and will start as a new prosecutor in September. He or she will look into the situation, specifically to the company that you mentioned in this issue. The issue of the investigation of the case is actually the issue of making sure to restore the honesty so we will take care of that and will work on the investigation of the case. On top of that, I would kindly ask you if you have any additional information that you can provide to us, it would be very helpful for the investigation to make sure that we administer justice in our country with regard to the Ambassador to the United States from Ukraine as far as I recall her name was Ivanovich. It was great that you were the first one who told me that she was a bad ambassador because I agree with you 100%. Her attitude towards me was far from the best as she admired the previous President and she was on his side. She would not accept me as a new President well enough.
President Trump: Well, she's going to go through some things. I will have Mr. Giuliani give you a call and I am also going to have Attorney General Barr call and we will get to the bottom of it. I'm sure you will figure it out. I heard the prosecutor was treated very badly and he was a very fair prosecutor so good luck with everything. Your economy is going to get better and better I predict. You have a lot of assets. It's a great country. I have many Ukrainian friends, their incredible people." (my bolds)
Now, let's look back in time to 1998. On July 22, 1998, a treaty was signed between Ukraine and Washington. The Treaty on Mutual Legal Assistance in Criminal Matters was signed in Kiev on the aforementioned date. Here is an excerpt from the The original letter of submittal from the Department of State to the President's office dated October 19, 1999 which states the following:
"I have the honor to submit to you the Treaty between the United States of America and Ukraine on Mutual Legal Assistance in Criminal Matters with Annex (“the Treaty''), signed at Kiev on July 22, 1998. I recommend that the Treaty be transmitted to the Senate for its advice and consent to ratification.
Also enclosed, for the information of the Senate, is an exchange of notes under which the Treaty is being provisionally applied to the extent possible under our respective domestic laws, in order to provide a basis for immediate mutual assistance in criminal matters. Provisional application would cease upon entry into force of the Treaty.
The Treaty covers mutual legal assistance in criminal matters. In recent years, similar bilateral treaties have entered into force with a number of other countries. The Treaty with Ukraine contains all essential provisions sought by the United States. It will enhance our ability to investigate and prosecute a range of offenses. The Treaty is designed to be self-executing and will not require new legislation." (my bold)
The Treaty was then transmitted by the President of the United States (Bill Clinton) to the Senate on November 10, 1999 (Treaty Document 106-16 -106th Congress – First Session) as shown on this letter of transmittal from Bill Clinton's office:
Note this key excerpt from the letter of transmittal:
"Mutual assistance available under the Treaty includes: taking of testimony or statements of persons; providing documents, records, and articles of evidence; serving documents; locating or identifying persons; transferring persons in custody for testimony or other purposes; executing requests for searches and seizures; assisting in proceedings related to restraint, confiscation, forfeiture of assets, restitution, and collection of fines; and any other form of assistance not prohibited by the laws of the requested state."
The Treaty was reported favourable by the Senate Committee on Foreign Relations on September 27, 2000, consented to ratification by the Senate on October 18, 2000 and ratified by the President of the United States on January 5, 2001. The Treaty was entered into force on February 27, 2001. Here are the title page of the Treaty and the signature page:
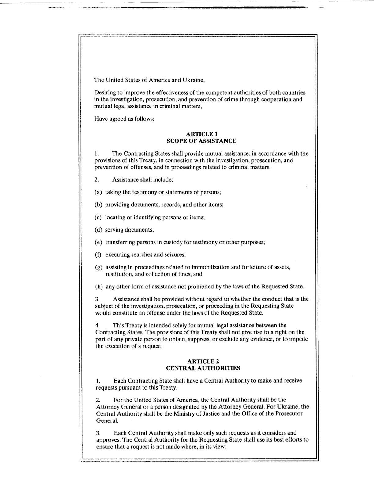
Here are the first two pages of the Treaty which outline the scope of assistance that is to be offered by both nations as well as the limitations on assistance:
If you wish to read the Treaty in its entirety, please click here.
With this background and while I don't want to appear to be pro- or anti-Trump, it is very, very clear that the current POTUS was within the law under the Treaty on Mutual Legal Assistance in Criminal Matters between the United States and Ukraine when it comes to asking Ukraine to investigate a potential criminal matter.
Click HERE to read more from this author.
You can publish this article on your website as long as you provide a link back to this page.






Be the first to comment