Now that the mid-term election is behind us and we're headed toward the 2016 election, this bit of background information seems pertinent, particularly in light of the fact that politicians' penchant for remaking themselves into what they think voters will like.
On Monday, October 13, 2014, Hillary Clinton, on behalf of the Bill, Hillary and Chelsea Clinton Foundation, gave a speech a the Bellagio Resort in Las Vegas, Nevada, sponsored by the University of Nevada, Las Vegas (hereafter known as the sponsor). Thanks to some released documents, we have insight about what Ms. Clinton charges and what perquisites she expects for her services.
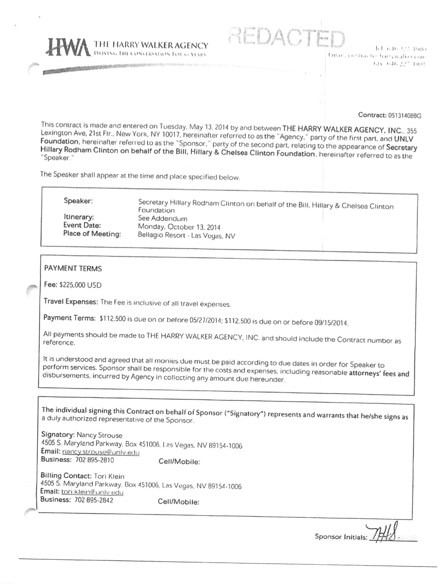
Here is the page from the contract showing the bottom line:
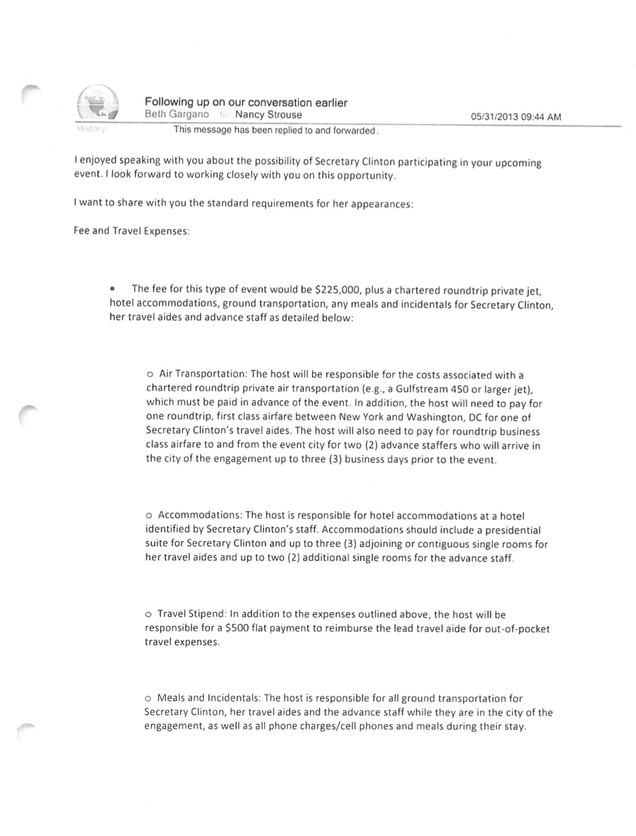
Ms. Clinton is paid $225,000 plus all travel expenses for her speech. Travel expenses include a chartered private jet (a Gulfstream 450 (which seats 14 and travels at up to Mach 0.88 or larger), hotel accommodations in a Presidential Suite, ground transportation and meals and incidentals for Ms. Clinton, her aides and her advance staff as shown here:
Note that the host will pay for one roundtrip first class airfare for one of Ms. Clinton's travel aides and two roundtrip business class airfares for two advance staff members that will arrive in Las Vegas up to three days prior to the event.
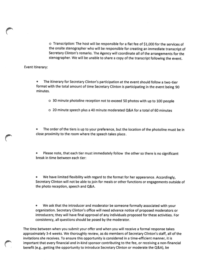
The topic, length and format of the speech is completely up to the speaker's discretion. The speech may not be recorded, broadcast or reproduced in any form but will be transcribed by the sponsor. The contract states that twenty seats in the priority seating area should be reserved for the guests of the speaker. The sponsor is responsible for all security costs that are requested by the U.S. Secret Service which includes magnetometers and trained personnel to search personal effects of attendees. As well, in the small print, it states that the contract is non-cancelable by the sponsor and that all amounts due will be paid. If Ms. Clinton is prevented from appearing or fails to appear, the contract is deemed terminated; in that case, Ms. Clinton's agent is responsible for finding an alternate speaker. If the two parties can't agree on the substitute, the fees paid will be refunded. The speaker will be the only person on stage during her remarks and may request that the sponsor pay for and provide a glass panel teleprompter and a qualified offer. As well, Ms. Clinton's agent has the final approval of the person chosen to introduce Ms. Clinton. One clause that I found interesting was "The venue shall be as indicated in Place of Meeting above and shall be a well heated, lighted and licensed place for the appearance, in good condition.". After all, we can't have the presumed Democratic Presidential candidate speaking in a cold, dark building, can we?
The event will start with a half hour photo line where up to 50 photos can be taken with up to 100 people between 7:00 and 7:30 pm and the speech followed by a moderated question and answer period will take place between 7:30 and 8:30 pm. The speech will be twenty minutes long and the Q&A will be 40 minutes long.
Let's say you happen to be in Las Vegas on the 13th of October. Here's a document showing how much you'll spend if you wish to attend this event:
If you don't wish to buy an entire table, individual seats are for sale at $200 each.
With Bill Clinton's ample speaking fees helping to keep the Clinton family from lining up at the food bank as shown here, we can see how far behind them the Clintons have put their days of financial struggle. This is even more apparent when we find out that the median annual household income in the United States was $53,093 in early 2014.
Click HERE to read more of Glen Asher's columns
You can publish this article on your website as long as you provide a link back to this page.






Be the first to comment